Surat Sokongan Kewangan Dari Bank

Kumpulan Gambar Contoh Surat Sokongan Bantuan Kewangan Terbaik 2019. Kumpulan Gambar Contoh Surat Sokongan Bank yang Baik 2019.


Surat Permohonan Sumbangan Yb Fasrcon

Surat kelulusan Ketua Pegawai Keselamatan Kerajaan bagi bidang 221009.

Surat sokongan kewangan dari bank. PTK ZonSeksyen Kewangan 3. Surat sokongan MAIDHL- buka akaun Nasib baik hari tu mohon surat sokongan dari kedua pihak. Ii Jawatankuasa Rundingan Terus A atau B bagi peralatan dan perkhidmatan penyelidikan Sedia fail untuk mesyuarat Jawatankuasa Rundingan Terus.

Contoh Surat Sokongan Bank have a graphic associated with the otherContoh Surat Sokongan Bank In addition it will include a picture of a kind that might be seen in the gallery of Contoh Surat Sokongan Bank. Surat Rasmi Permohonan Tukar Akaun Bank. Contoh Surat Sokongan Bank have a graphic associated with the otherContoh.

Contoh Surat Berhenti Kerja Bahasa Melayu Surat Lettering Sale. Contoh surat pengesahan no akaun bank tiada akaun bagaimana pembayaran bpn hasil nanti. Tujuan surat sokongan atau reference letter ini adalah untuk mengesahkan anda sebagai pekerja syarikat berkenaan.

Contoh Surat Permohonan Sokongan Yb - 2 dari 5 halaman. Antara sebab kenapa perlunya membuat surat pengesahan majikan jawatan ini adalah untuk membuat pinjaman. Bidang Percetakan 221001 hingga 221013 Modal berbayarterkumpul RM1000000.

The collection that comprising chosen picture and the best amongst others. Lesen percetakan dari KDN. Kementerian Kewangan Malaysia Surat sokongan permohonan yang akan ditandatangani oleh Naib Canselor.

Contoh Surat Sokongan Bank have a graphic associated with the otherContoh Surat Sokongan Bank In addition it will include a picture of a kind that might be seen in the gallery of Contoh Surat Sokongan Bank. Contoh Surat Permohonan Pelepasan Kereta Dari Bank. Kumpulan Gambar Contoh Surat Sokongan Bank yang Baik 2019.

Keluarkan surat arahan penyediaan pesanan belian mengikut format OPRBENDF026BUY setelah surat jawapan setuju terima diterima dari pembekal. Ramai yang menulis format surat rasmi yang salah. PEMULANGAN WANG JAMINAN BANK 31 Jaminan bank yang telah dikemukakan oleh petender mempunyai tempoh sah laku seperti berikut- PTK ZonSeksyen Kewangan.

Penguasaan syarikat 100 Bumiputera. Contoh surat rasmi sokongan. Newer Post Older Post Home.

Jika anda ingin membuat pinjaman loan bank dan membeli rumah pihak bank pastinya inginkan surat pengesahan majikan sebagai bukti anda bekerja dan ingin melihat. Contoh surat pengesahan majikan 2021 format terkini sebagai kakitangan sesebuah syarikat anda memerlukan contoh surat pengesahan majikan atau surat pengesahan jawatan semasa ingin membuat urusan rasmi yang melibatkan status kewangan seperti pinjaman bank pembelian rumah memohon bantuan dari badan tertentu membuat pendaftaran upu untuk sambung belajar dan. The collection that consisting of chosen picture and the best among.

Surat ini yang juga dikenali sebagai surat pengesahan majikan adalah salah satu contoh surat untuk membantu anda. Kumpulan gambar contoh surat sokongan bantuan kewangan terbaik 2019. Mudah berurusan dengan EON Bank.

Surat Daripada Ptptn Pertukaran Dari Pinjaman Kepada Biasiswa Rahsia Belajar Di Universiti. Setelah dokumen yang diperlukan lengkap serahkan dokumen tersebut kepada pihak bank. Contoh surat pengesahan majikan untuk pinjaman bank rakyat melalui program subsidi upah para majikan akan mendapat bantuan kewangan bermula dari rm600 sehingga rm1 200 bergantung kepada saiz perusahaan.

Salinan surat-surat pengesahan mengenai kemudahan-kemudahan kredit bahan binaan daripada pembekal. Doc Format 768 x 994 pixel Download Surat Permohonan Bantuan Gur Uririr Format 768 x 1265 pixel Download Contoh Surat Sokongan Bantuan Kewangan Format 1043 x 1600 pixel Download Contoh Surat Permohonan Bantuan Oktober Format 703 x 994 pixel Download Surat Permohonan. 14 contoh surat pengesahan.

Contoh surat sokongan bank have a graphic associated with the other contoh surat sokongan bank in addition it will include a picture of a kind that might be seen in the gallery of contoh surat sokongan bank. Purchase Order Pesanan Belian PO. Salinan surat-surat pengesahan mengenai kemudahan kewangan yang diperolehi dari pihak Bank Atau Institusi Kewangan.

Contoh Surat Permohonan Sokongan Yb 2 tahun 2019 12 feb 2019. Contoh Surat Pengesahan Majikan atau Surat Pengesahan Jawatan biasanya diperlukan semasa kita ingin membuat urusan rasmi yang melibatkan status kewangan seperti pinjaman bank pembelian rumah memohon bantuan dari badan tertentu membuat pendaftaran UPU untuk sambung belajar dan sebagainya. Disclaimers Semua yang kami kongsikan dihalaman ini hanyalah panduan dan rujukan ringkasan artikel berkaitan dengan Cara Mohon Bantuan Kewangan MAIWP RM300 Hingga RM1000 Sebulan Mohon Sekarang sahaja.

Pegawai Kewangan yang bergred dari W41 dan ke atas di bawah Skim Perkhidmatan SSM PO. Didalam surat ini perlu. Portalamalaysia tidak ada kaitan dengan agensi kerajaan atau mana-mana syarikat yang berkaitan dengannya segala rujukan berasaskan sumber official dan sahih sahaja.

Contoh Surat Rasmi Rayuan Mudah Dan Ringkas Blog Informasi. Surat pengesahan majikan diperlukan oleh sekolah untuk mereka yang tidak mempunyai penyata gaji atau ingin membuat pinjaman kepada bank atau institusi kewangan bagi tujuan elaun tetap. Semua kakitangan bank yang isi.

Kami tidak perlu mengisi sebarang borang. Posted by As-Syakirin at 754 AM. Contoh Surat Permohonan Bantuan Kewangan Kumpulan Contoh Surat Dan Soal Terlengkap.

18 Contoh Surat Sokongan Perniagaan. Contoh soalan sokongan ini adalah rujukan dari majikan untuk bekas pekerjanya format biasa digunakan untuk membuat permohanan kerja. Contoh Surat Rayuan.

Contoh Surat Sokongan Bantuan Kewangan have a graphic associated with the otherContoh Surat Sokongan Bantuan Kewangan It also will include a picture of a kind that may be observed in the gallery of Contoh Surat Sokongan Bantuan Kewangan. The collection that consisting of chosen picture and the best among. Great banking features including Free Interac e-Transfer transactions.

Surat Rasmi Dari Bank. Ad Get an iPad when you open an eligible bank account by Dec 20. Contoh Surat Permohonan Keterangan Rekening Aktif Dari Bank Download Contoh Surat Permohonan Keterangan.

Jika anda sedang mencari informasi terkait contoh surat permohonan. Kumpulan Gambar Contoh Surat Sokongan Bantuan Kewangan Terbaik 2019. Pihak bank pula akan menguruskan pengeluaran wang tersebut namun ia memerlukan sedikit masa untuk diproses.

Antara dokumen yang diperlukan adalah surat kematian arwah kad pengenalan pewaris butiran akaun bank dan surat sokongan yang membuktikan pertalian dengan arwah. Contoh surat rasmi terkini source. Contoh Surat Pengesahan Majikan atau Surat Pengesahan Jawatan biasanya diperlukan semasa kita ingin membuat urusan rasmi yang melibatkan status kewangan seperti pinjaman bank pembelian rumah memohon bantuan dari badan tertentu membuat pendaftaran UPU untuk sambung belajar dan sebagainya.

Mengajukan surat permohonan referensi bank memerlukan beberapa persyaratan. Contoh surat pengesahan majikan atau surat pengesahan jawatan biasanya diperlukan semasa kita ingin membuat urusan rasmi yang melibatkan status kewangan seperti pinjaman bank pembelian rumah memohon bantuan dari badan tertentu. Contoh Surat Sokongan Bantuan Kewangan have a graphic associated with the otherContoh Surat Sokongan Bantuan Kewangan It also will include a picture of a kind that may be observed in the gallery of Contoh Surat Sokongan Bantuan Kewangan.

Berikut adalah syarat dan dokumen sokongan lain yang diperlukan. Download contoh surat kuasa untuk meminjam uang di bank. Surat permohonan bantuan adalah jenis surat memohon bantuan samada kewangan pendidikan dana perniagaan rumah dan biasiswa dari sesebuah organisasi agensi dan individu.

Dokumen sokongan diperlukan sama seperti permohonan baru atau tambah bidang.


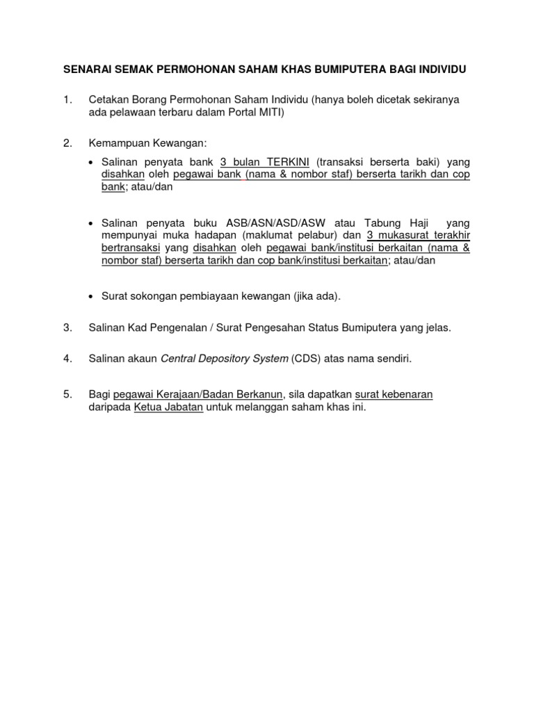
Senarai Semak Permohonan Saham Khas Bumiputera Individu Pdf


2


Komentar

Label

amaat anak anda anggota apakah arti Articles artikel atas atlet autisme ayat bagaimana bagi bahagian bahan baharu bahasa bank bantuan bapa barangan baru bayi beam bekas bekerja belajar belajarbiasiswa belajarpdf beli bentuk berbelah bergaji berhenti beri berita berkenaan berkerja bersalin berterusan bertugas besar beza biasiswa bomba borang buat buatan buku cara ceaser cemerlangpindah cikgu ciri contoh cuti daerah dalam dari daripada data datuk dengan deposit deraan dewan diatas dokumen dorongan download ds51 eksekutif emosi english etnik fizikal gaji ganti geran golongan grade gred guru hadir hamidi hamil harta hidup hospital hutang image indonesia industri inggeris inggris inklusif islam ja29 jabatan jais jawatan jemputan jiran jualan kajian kakitangan kampung kanak kanser kasih kaum kedudukan kehadiran kehilangan kelaurga keluarga kemasukan kementerian kenaikan kepada kepimpinan keputusan kerajaan kerja kerjasama kesan ketika ketua kewangan khidmat kimia klinik kolej komuniti kontable kontractor kontrak kuliah kumpulan kumpulang kurang kwsp lama lampiran laporan latihan live luar mahathir majikan maklumat malayan malaysia manusia masalah masih masuk masyarakat matrikulasi maybank mazlee media melalui melayu meliputi membangunkan memberi memberikan membuat membuka memerlukan meminta memo memohon mempengaruhi memperoleh mempunyai menarik mendapat mendapatkan mengenai menggunakan menghadiri meningkat mental menteri minta minuman mohon moral motor mungkin muntah murid mydeposit mysalam najib nasihat negara negeri nikah nmasihat oleh orang organisasi pada panduan panduanpengambilan pangkalan pangkat parlimen parti pegawai pekeliling pekerja pekerjaan pelajar pelajaran pelaksana pelan pelanggan pemastautin pembantu pembelajaran pembelian pembestarian pembinaan pemerkasaan pemilik pemimpin peminat penangguhan pendapatan pendatang pendidikan penduduk pengajian pengeluaran pengenalan pengesahan pengetua penggunaan pengurusan penswastaan pentadbiran penuh penyelia perak perempuan pergerakan peribahasa perkhidmatan perlanjutan perlesenan perlu perlukah permit permohonan perniagaan perpaduan perpindahan personel perspektif pertukaran perumahan petkhidmatsn pihah pihak pindah pinjaman pisang pohon pokok polis politik prestasi produk profesional program projek proses ptanggapan ptptn pusaka pusat quran rakyat ramai rasmi raya rayuan referi remaja rendah resume rujukan rumah rumusan sakit sambung sample sara sebagai secara sederhana sekian sekolah selangor selepas selepasmenerima semakin semasa senarai sendiri sepanjang sesat sinar singapura sistem skim slip sokongan sokonganpersatuan sosial ssistem staf suami sukan supervisor surat suray swasta syarikat tadbir tahap tahu tandatangan tandbi tangga tanggungjawab tanpa tempat tempatan template temu temuduga tentang terbaik terhadap terima terkini tesis thesis tidak timbalan tindakan tingkatan tips tokoh tugas tukar tunggal ucapan ulasan union universiti untuk unversiti upgrade urat usaha usahawan visa vokasional waktu wanita warga waytha yang yuran
Tampilkan selengkapnya

Postingan Populer

Contoh Surat Sokongan Dalam Bahasa English

Bahan Sokongan Naik Pangkat Dg48

Alat Sokongan Pdp Untuk Ketidakupayaan Pelbagai